●スマートフォンでのインターネット利用がパソコンを上回っている
2018年のインターネット利用率(個人)は79.8%となっている(図表3-2-1-3)。また、端末別のインターネット利用率は、「スマートフォン」(59.5%)が最も高く、「パソコン」(48.2%)を11.3ポイント上回っている(図表3-2-1-4)。
●インターネット利用の世代間や年収間の格差はいまだに存在
2018年における個人の年齢階層別インターネット利用率は、13歳〜59歳までは各階層で9割を超えている。また、所属世帯年収別のインターネット利用率は、400万円以上の各階層で8割を超えている(図表3-2-1-5)。
●多くの都道府県でスマートフォンによるインターネット利用率が50%を超えている
都道府県別にみると、インターネット利用率が80%を超えているのは、埼玉県、東京都、神奈川県、愛知県、滋賀県、京都府、大阪府、兵庫県、奈良県、広島県となっている。利用端末別にみると、40の都道府県でスマートフォンでの利用率が50%を超えている(図表3-2-1-6)。
●大都市圏を中心にインターネット利用率、スマートフォンによるインターネット利用率が高い
地方別のインターネット利用率をみると、南関東、近畿、東海の順に高く、スマートフォンによる利用率も、南関東、近畿、東海の順に高い。いずれの利用率も最も高い南関東は、インターネット利用率が85.4%、スマートフォンでの利用率が66.1%となっている(図表3-2-1-7)。
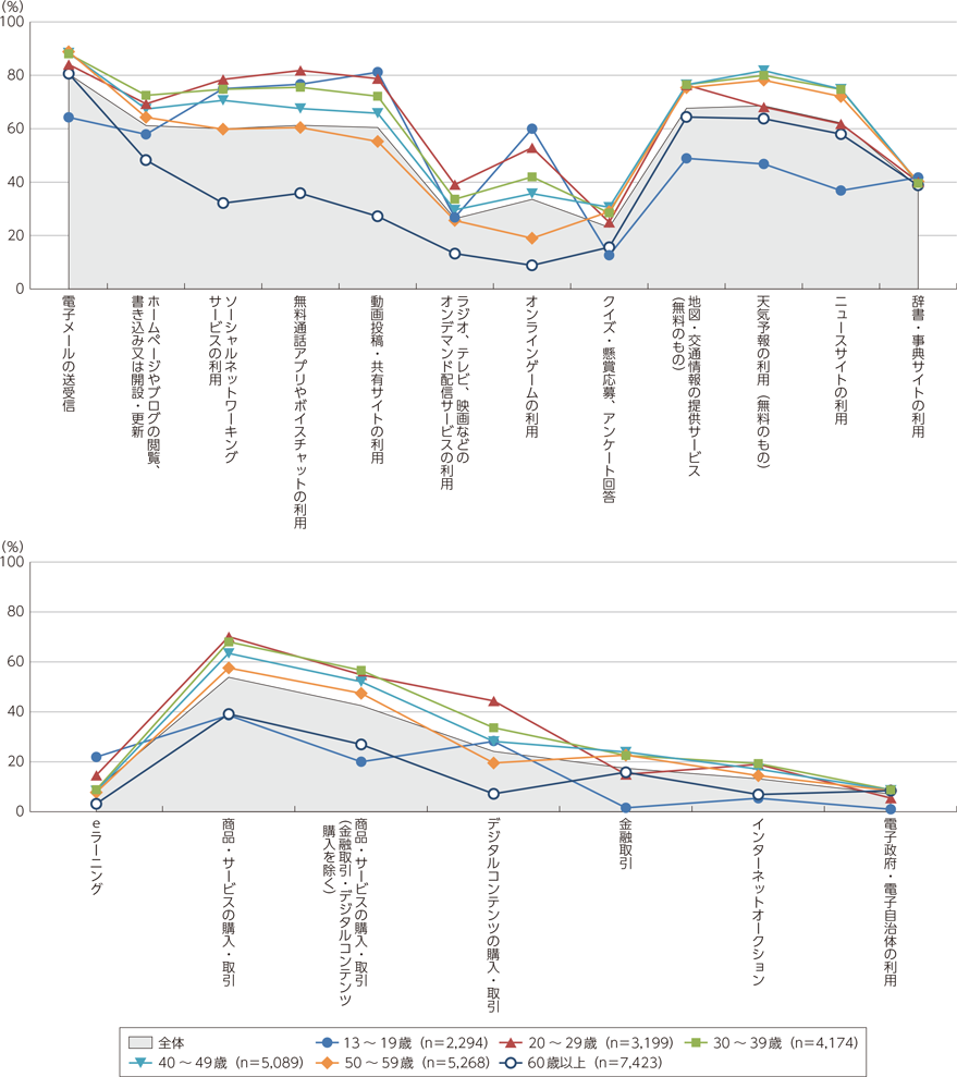
●インターネットの利用目的は、「電子メールの送受信」が最も多い
インターネットの利用目的については、「電子メールの送受信」がほぼすべての年齢層で高くなっている一方、「ソーシャルネットワーキングサービスの利用」や「動画投稿・共有サイトの利用」では各年齢階層の差が大きくなっている(図表3-2-1-8)。このうち、「ソーシャルネットワーキングサービスの利用」については、80歳以上を除く各年齢階層で利用率が上昇している(図表3-2-1-9)。
●決済方法は「クレジットカード払い」が約7割
インターネットで購入する際の決済方法は、「クレジットカード払い」(74.7%)が最も多く、次いで、「コンビニエンスストアでの支払い」(43.0%)、「代金引換」(32.7%)、「銀行・郵便局の窓口・ATMでの振込・振替」(27.5%)となっている(図表3-2-1-10)。
